dan blog blogspot.com
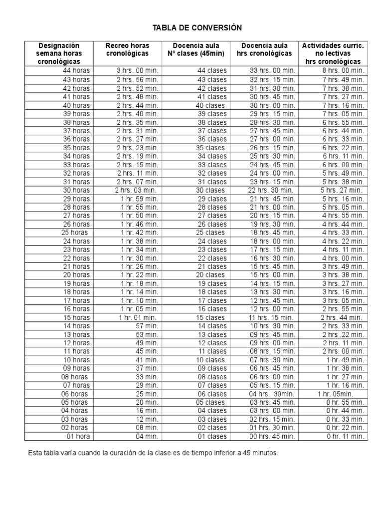
Horas No Lectivas Tabla - Tabla Comparativa Horarios Secundaria Comunidad Madrid Profesorgeohistoria : La siguiente tabla muestra la distribución de horas lectivas y no lectivas, en una proporción de 65% y 35% respectivamente, acorde a las horas cronológicas de función docente establecidas por contrato (para revisar tabla completa ver anexo 1).
Langsung ke konten utama
Horas No Lectivas Tabla - Tabla Comparativa Horarios Secundaria Comunidad Madrid Profesorgeohistoria : La siguiente tabla muestra la distribución de horas lectivas y no lectivas, en una proporción de 65% y 35% respectivamente, acorde a las horas cronológicas de función docente establecidas por contrato (para revisar tabla completa ver anexo 1).
Dapatkan link
Facebook
X
Pinterest
Email
Aplikasi Lainnya
Horas No Lectivas Tabla - Tabla Comparativa Horarios Secundaria Comunidad Madrid Profesorgeohistoria : La siguiente tabla muestra la distribución de horas lectivas y no lectivas, en una proporción de 65% y 35% respectivamente, acorde a las horas cronológicas de función docente establecidas por contrato (para revisar tabla completa ver anexo 1).. Gasto total asociado a la política de aumento de las horas no lectivas para el año Asesores del rectorado y vicerrectorado. Quiénes somos políticas de privacidad manual de normas gráficas de gobierno. Director de calidad de la oficina general de calidad académica y acreditación i.4. Las condiciones para llegar al 40% de horas no lectivas.
La siguiente tabla permite visualizar la distribución de las horas cronológicas semanales de contrato, según los nuevos límites máximos: 30%, 35%, 40% o 50% de las horas de contrato de aula). En la sección final, la tabla 2 presenta las variables de horas de trabajo que reportan los. Entre os dois blocos de aulas, com duas horas lectivas de 45m, respectivamente, há um intervalo de 15 minutos, . permitindo situações comunicativas entre os participantes de outros cursos de alemão. El 1 de abril de 2016 entró en vigencia la ley 20.903 que que crea el nuevo sistema de desarrollo profesional docente.
Gale Academic Onefile Document Abandono De La Profesion Docente En Chile Motivos Para Irse Del Aula Y Condiciones Para Volver from callisto.ggsrv.com Tal como informó esta mañana t13, en la página 35 del documento con las indicaciones se detalla que un docente de 44 horas podrá disminuir sus horas de clases (frente a alumnos) a 27 horas con 45 minutos, siempre que se cumplan estos requisitos: Hora lectiva, hora cátedra u hora de clase, se refiere al tiempo que se destina para la práctica docente en aula, es decir, con alumnos. Comparación argentina, brasil, chile y uruguay.14 tabla 3: Descanso dentro de la jornada; Un video sin editar presenta como calcular las horas lectivas y no lectivas ( 65% y 35%). Jornada laboral de los profesionales de la educaci n: Incremento de horas no lectivas establecidas por la ley nº 20.903, uso y asignación. Horas lectivas v/s horas no lectivas hora lectiva:
Horas de docencia de aula;
Hora lectiva, hora cátedra u hora de clase, se refiere al tiempo que se destina para la práctica docente en aula, es decir, con alumnos. Un video sin editar presenta como calcular las horas lectivas y no lectivas ( 65% y 35%). Jornada laboral de los profesionales de la educación: Quiénes somos políticas de privacidad manual de normas gráficas de gobierno. Horas de docencia de aula y actividades curriculares no lectivas; 69 y 80, dfl n 1/1996 (mineduc) art. 30%, 35%, 40% o 50% de las horas de contrato de aula). Imputación de horas destinadas a la evaluación y seguimiento del pie; Tabla de distribución de horas no lectivas hasta 30 horas semanales: Gasto total asociado a la política de aumento de las horas no lectivas para el año Planificar, laborar material, preparar una clase, preparar y revisar evaluaciones, etc. Las horas lectivas corresponden a aquellas donde se desarrolla la docencia en el aula o en el contexto de una clase, mientras que las horas no lectivas son aquellas donde se realizan labores educativas complementarias a la función de aula (mineduc, 1997). 0 0 voto positivo, marque este documento como útil 0 0 voto negativo, marcar este documento como inútil incorporar.
La siguiente tabla permite visualizar la distribución de las horas cronológicas semanales de contrato, según los nuevos límites máximos: Dentro de otras importantes modificaciones, esta ley modificó el estatuto docente en lo que guarda relación con las horas lectivas y no lectivas de las y los docentes, demanda sentida por profesionales de la educación que pasan gran parte de su tiempo libre (incluidos. 129, ds n 453/1991 (mineduc) art. Incremento de horas no lectivas establecidas por la ley nº 20.903, uso y asignación. Un video sin editar presenta como calcular las horas lectivas y no lectivas ( 65% y 35%).
Tabla Horas Lectivas Deportes from imgv2-2-f.scribdassets.com 0 0 voto positivo, marque este documento como útil 0 0 voto negativo, marcar este documento como inútil incorporar. (porcentaje de horas no lectivas igual: 40 horas de contrato con un anexo de 4 horas pie, de esas 40 horas de contrato usted debería hacer 37 horas aula como máximo (27 horas 45 minutos cronológicamente), 2 horas con 44 minutos de recreo y 9 horas con 31 minutos de recreo. Esta hora lectiva es de 45 minutos, lo que en términos técnico se conoce como 'hora pedagógica'. Incremento de horas no lectivas establecidas por la ley nº 20.903, uso y asignación. Tal como informó esta mañana t13, en la página 35 del documento con las indicaciones se detalla que un docente de 44 horas podrá disminuir sus horas de clases (frente a alumnos) a 27 horas con 45 minutos, siempre que se cumplan estos requisitos: O scribd é o maior site social de leitura e publicação do mundo. Segundo transitorio ley n 20.903 arts.
Tabla de distribucion de horas lectivas y no lectivas para profesores del sector municipal, particular subvencionado y del d.l.
Horas de docencia de aula; Horas de docencia de aula y actividades curriculares no lectivas; Segundo transitorio ley n 20.903 arts. Estimada andrea las horas pie no deben ser consideradas como horas no lectivas, por lo tanto su contrato debiera estar formulado de la siguiente forma: 69 y 80, dfl n 1/1996 (mineduc) art. Tabla de distribucion de horas lectivas y no lectivas para profesores del sector municipal, particular subvencionado y del d.l. Entre os dois blocos de aulas, com duas horas lectivas de 45m, respectivamente, há um intervalo de 15 minutos, . permitindo situações comunicativas entre os participantes de outros cursos de alemão. Asesores del rectorado y vicerrectorado. Las horas lectivas corresponden a aquellas donde se desarrolla la docencia en el aula o en el contexto de una clase, mientras que las horas no lectivas son aquellas donde se realizan labores educativas complementarias a la función de aula (mineduc, 1997). Inventoria, administrador de existencias imprimiendo. Descanso dentro de la jornada; La estructura de la tesis se describe a continuación: Metropolitano del colegio de profesores de chile, nos ayuda a entender la diferencia entre horas lectivas y no lectivas, despejan.
Horas lectivas y no lectivas según contrato del docente (65/35) horas cronológicas La siguiente tabla muestra la distribución de horas lectivas y no lectivas, en una proporción de 65% y 35% respectivamente, acorde a las horas cronológicas de función docente establecidas por contrato (para revisar tabla completa ver anexo 1). En dicho periodo el profesor: Esta hora lectiva es de 45 minutos, lo que en términos técnico se conoce como 'hora pedagógica'. 129, ds n 453/1991 (mineduc) art.
Ejemplo Horario De Permanencia Y Colaboracion Educarchile from img.yumpu.com Anterior no carrossel próximo no carrossel. Años 2017 y 2018, a contar del año escolar 2017 año escolar 2019 en adelante. Horas lectivas v/s horas no lectivas hora lectiva: Horas de docencia de aula; Las horas lectivas corresponden a aquellas donde se desarrolla la docencia en el aula o en el contexto de una clase, mientras que las horas no lectivas son aquellas donde se realizan labores educativas complementarias a la función de aula (mineduc, 1997). Imputación de horas destinadas a la evaluación y seguimiento del pie; Segundo transitorio ley n 20.903 arts. Tabla de distribución de horas no lectivas hasta 30 horas semanales:
Las condiciones para llegar al 40% de horas no lectivas.
Estas horas no lectivas son esenciales para desarrollar un buen trabajo al La siguiente tabla permite visualizar la distribución de las horas cronológicas semanales de contrato, según los nuevos límites máximos: En este sistema, se establecen transformaciones para dar solución e intervenir en materias propias de la profesión docente, las necesidades de apoyo a su desempeño y su valoración.dentro de los cambios que establece, está el incremento de horas no lectivas para todas las y los profesionales de la educación de establecimientos escolares. Director de calidad de la oficina general de calidad académica y acreditación i.4. La sección2 presenta una breve motivación y contexto de la política nacional docente, la sección 3 exponen los antecedentes que justifican Años 2017 y 2018, a contar del año escolar 2017 año escolar 2019 en adelante. Director del centro de desarrollo regional. Jornada laboral de los profesionales de la educación: Un video sin editar presenta como calcular las horas lectivas y no lectivas ( 65% y 35%). Planificar, laborar material, preparar una clase, preparar y revisar evaluaciones, etc. Dentro de otras importantes modificaciones, esta ley modificó el estatuto docente en lo que guarda relación con las horas lectivas y no lectivas de las y los docentes, demanda sentida por profesionales de la educación que pasan gran parte de su tiempo libre (incluidos. Horas de actividades curriculares no lectivas; Improcedencia de imputar a la nueva.
Michelin Star Amuse Bouche - Two Michelin Starred Chef Anthony Genovese At Mandarin Oriental Singapore - An amuse bouche should not be too large and it should be small enough to be had in a mouthful. . Take a look at this amazing gallery of little bites and teasers from some of america's greatest chefs.today's delicious links• antique mason jar light at napa style. It also has one of the most spectacular views in the world. Restaurant reviews by zoe perrett april 4, 2018. Eat & travel, michelin stars, stele michelin, world's 50 best el celler de can roca, michelin stars, stele michelin, world's 50 best. La vida tapa 15/11/2016 amusebouchero leave a comment Food, travel and life experiences to make you smile. Michelin stars, world's 50 best heston blumenthal, london restaurants, michelin stars, world's 50 best tickets bar (1*): Taste just like a light rice cracker/puff with guacamole. Chilled cucumber avocado soup with lime. Black radi...
Human Central Nervous System Diagram - 15.4B: Subdivisions of the Nervous System - Biology LibreTexts : The central nervous system (cns) includes the brain and spinal cord (see the figure below). . The central nervous system is effectively the center of the nervous system, the part of it that the cns consists of the brain and spinal cord. The nervous system, through the use of neurons, make human beings aware of their environment as well as their own bodily needs. A dermatome is the area of the skin of the human anatomy that is mainly supplied by branches of a the nervous system must receive and process information about the world outside in order to react. The intricacies of the human nervous system are of great intellectual and practical interest and importance and are the. Division of human nervous system (with diagram) advertisements: Division of human nervous system (with diagram) advertisements: This human anatomy clipart gallery offers 265 illustrations of the...
Komentar
Posting Komentar